查看: 98|回复: 0

生物一区顶刊 | 运用iTRAQ蛋白质组学探索新型tRNA增产抗生素

[复制链接]

2

主题

4

帖子

8

积分

新手上路

Rank: 1

积分
8
发表于 2023-6-24 18:16:42 | 显示全部楼层 |阅读模式
前言

抗生素耐药性是当今全球健康面临的最大威胁之一,解决措施之一是加快发现和生产新的抗生素。目前大约70%的抗生素来自链霉菌产生的天然产物。链霉菌的生物合成基因簇 (BGC) 编码可将初生代谢产物转化为复杂的生物活性分子(例如抗生素)。因此一个简单通用策略是增加BGC的表达,它也是新抗生素发现的基础。

2022年5月,中国科学院西北生态环境资源研究院刘光琇研究团队(一作:陈熙明副研究员)Nucleic Acids Research期刊(IF:19.16)发表的题为 “A new bacterial tRNA enhances antibiotic production in Streptomycesby circumventing inefficient wobble base-pairing ”的研究成果,发现了一种新型tRNA,并通过iTRAQ蛋白质组学方法证实其提高链霉菌抗生素产量效果,为增产抗生素的生物路径探索提供了理论依据。中科院沙漠与沙漠化重点实验室、甘肃省极端环境微生物资源与工程重点实验室陈熙明副研究员为第一作者,刘光琇研究员与英国Swansea大学Paul Dyson教授为共同通讯作者。





中文标题:一种新的细菌 tRNA 通过规避低效的摆动碱基配对提高链霉菌的抗生素产量
研究对象:链霉菌
发表期刊:Nucleic Acids Research
影响因子:19.16
发表时间:2022年5月30日
运用生物技术:iTRAQ蛋白质组学(由鹿明生物提供技术支持)

研究背景
本文作者对从中国西北沙漠中分离出来的快速生长 S. violaceusniger 菌株 SPC6(称为 SPC6)的 6.5 Mb 小基因组进行了测序,并描述了在 SPC6 基因组中发现的新型 tRNA-Asp-AUC功能。作者展示了它在一系列链霉菌中的异源表达如何促进抗生素的早熟和增产,揭示了一种基于 GAT 密码子翻译效率的基因表达调控新方式,以及影响抗生素生物合成的方式。

研究思路




研究方法
1. 实验分组/研究材料
(1)本研究中使用的链霉菌属物种和菌株列于表 1。
(2)克隆中间体:大肠杆菌 JM109 (14) 。
(3)质粒与链霉菌属的属间缀合的供体:大肠杆菌 ET12567 (15) 。
2.技术路线
2.1. 菌株RNA纯化、测序和qRT-PCR分析,eGFP表达分析
2.2. iTRAQ 蛋白质组学分析
2.3.抗生素和钴胺素的定量分析

表1 实验涉及的链霉菌




研究结果

1. 一种新 tRNA-Asp-AUC 的细菌结构、功能和基因组信息
对 SPC6 的 tRNA 补体的分析揭示了编码 44 个不同物种的 75 个 tRNA 基因。该补体包括一个可能的具有反密码子序列 AUC 的 tRNA-Asp。该 tRNA-Asp-AUC 的 Cove 评分(二级结构稳定性和因此功能的预测因子)为 29.08,反密码子环的茎由 3 个 G:C 碱基对稳定(图1A)。在3tRNA 数据库、GtRNAdb、tRNADB-CE和 tRNAdb 数据库进行搜索,仅在五个细菌基因组中揭示了潜在的 tRNA-Asp-AUC,这些潜在 tRNA 物种的功能没有被分析,并且它们与 SPC6 tRNA-Asp-AUC 没有显著同源性。
作者还用6个GAT密码子在天蓝色链球菌菌株中表达修饰的 eGFP 基因,该菌株也表达 tRNA-Asp-AUC,其天然启动子整合到染色体中。在该菌株中观察到荧光营养菌丝,表明 eGFP mRNA 在早期生长阶段的有效翻译(图1D),结果证实了在没有同源 tRNA 的情况下,依赖于摆动碱基配对的 GAU 密码子的翻译在营养生长期间效率低下。这些实验证实了预测的 tRNA-Asp-AUC 确实有效地解码了 GAT 密码子。




图1 | tRNA-Asp-AUC的结构和功能分析

2.tRNA-Asp-AUC 影响异源模型链霉菌、天蓝色链霉菌中的基因表达
作者预测 tRNA-Asp-AUC 的表达可以导致由带有 GAT 密码子的基因编码的蛋白质更有效地翻译。事实上,在营养琼脂上生长后,在 3 天和 5 天两个时间点,将有和没有 tRNA 的天蓝色链霉菌菌株的iTRAQ蛋白质组学结果进行比较,具有显著差异。例如,在第 3 天过表达的蛋白质中,有几个是具有一个或多个 GAT 密码子的转录调节因子(例如 SCO2015、SCO223、SCO2517、SCO4628、SCO4677、SCO6286 和 SCO7146)。值得注意的是,就生物学功能而言,它们是由两种抗生素 BGC 编码的蛋白质。
生长条件可能会影响发育表型和抗生素生产,因此为了研究生长条件如何影响由于新型 tRNA 的活性而过表达的蛋白质组,分析了在基本培养基上生长3天后的培养物的蛋白质组。在这些条件下,209 种和tRNA相关蛋白质上调,其中只有27种与在营养琼脂上生长3天后观察到的常见上调蛋白质一致。此外209 个基因中GAT密码子的平均频率较低,为每个碱基对 0.0007,表明 tRNA 对基因表达的直接影响较小。
此外6种参与十一烷基普罗地宁生物合成的蛋白质被过表达。各自的基因(redR、redP、redO、redN、redL和 redK)是属于十一烷基脯氨酸BGC的两个操纵子的组成部分。当培养物在营养琼脂上生长时,其中两个基因 redR和redL 由于tRNA而过度表达。

3.新型tRNA促进天蓝色链球菌的早熟生产抗生素
基于iTRAQ蛋白质组学分析结果,作者认为表达 tRNA-Asp-AUC 的天蓝色链球菌中十一烷基普罗地宁的合成会增加。在培养基琼脂上生长 10 天后,与对照菌株相比,该菌株明显产生了更多的红色抗生素(图 2A),但在很大程度上缺乏气生菌丝和孢子链的发育。当这种突变的 tRNA 在天蓝色链球菌中表达时,产生的十一烷基普罗地宁要少得多(图 2A),并且气生菌丝的发育在很大程度上得到了恢复。
为了定量研究 tRNA 对抗生素生物合成的总体影响,在两种不同生长培养基上分别培养了两种天蓝色链球菌菌株(有和没有 tRNA-Asp-AUC),并定量分析了产生的三种不同抗生素:放线菌素、十一烷基脯氨酸和钙依赖性脂肽抗生素 (CDA)。
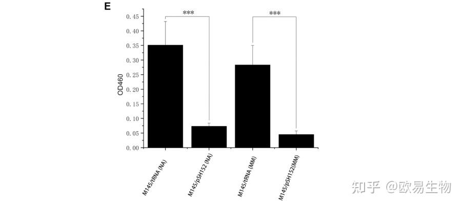
由于 tRNA 的表达,在两种培养基的生长过程中,放线菌素和十一烷基脯氨酸的早熟生都被观察到(图2C和D)。CDA 的检测结果还表明,在两种培养基类型的生长过程中,这种抗生素的大量合成也取决于tRNA的表达(图2B)。另外在营养琼脂和基本培养基上生长 5 天后,由于 tRNA,另外一种抗生素——腔霉素也大量产生(图2E)。







图2 | 表达 tRNA-Asp-AUC 的天蓝色链球菌增强抗生素产量

4.不同菌种表达tRNA 可提高重要医用抗生素的产量
为了评估tRNA的表达是否可以作为提高抗生素产量的通用手段,将该基因转移到4个不同的菌种中,它们缺少tRNA并产生用于医学的抗生素:S. chattanoogensis,S. filamentosus(也称为 S.roseosporus),S. clavuligerus,和 S. peucetius。作者比较了含有空载体和克隆的tRNA基因的相应菌株之间的抗生素产量,每种抗生素的产量均依赖于tRNA表达增加而增加(图3)。

iTRAQ蛋白质组学分析表明 tRNA 可导致天蓝色链球菌中钴胺素生物合成基因的过表达。钴胺素是合成一种甲基供体底物S-腺苷-I-甲硫氨酸 (SAM) 所必需的前体,并与多种抗生素(包括十一烷基脯氨酸、脂肽 CDA 和达托霉素和柔红霉素)的合成有关。SAM 还可以间接激活放线菌素的生物合成。因此本研究中五种不同链霉菌属中的钴胺素含量测试结果表明,表达tRNA的菌株产生的钴胺素产量均显著增加(图 4)。




图3 |  tRNA-Asp-AUC 的表达增强了商业抗生素的生物合成




图4 | tRNA-Asp-AUC 的表达增强了钴胺素的生物合成

相关讨论
本研究中作者确定了一种存在于0.7%的NCBI链霉菌序列文库中的 tRNA-Asp-AUC。在其他细菌属中没有发现这种tRNA,实际上只有五种其他细菌物种被预测具有非同源编码的tRNA-Asp-AUC。作者的研究表明了一种新的范式,即翻译效率依赖于非规范碱基配对,涉及更频繁的GAT密码子,比TTA 密码子丰富48倍,在调节基因表达和影响抗生素生产方面也很重要。S. coelicolor 的iTRAQ蛋白质组学分析揭示了一系列具有不同功能的蛋白质,其过表达依赖于新型 tRNA,包括抗生素生物合成基因。与基因组平均值相比,并非所有基因的 GAT 密码子频率都增加,这表明依赖于 tRNA 的翻译和基因表达之间可能是间接关系。分析结果表明,与基因组平均值相比,抗生素生物合成的多效性和通路特异性调节基因都含有更高的GAT密码子含量。
当菌株在不同的生长培养基上生长时,在S. coelicolor M145中表达tRNA会导致四种不同抗生素的早熟合成。十一烷基普罗地宁和腔霉素合成的增加与iTRAQ蛋白质组学分析中检测到的几种生物合成酶的表达增加相关。tRNA还促进了测试的其他物种的抗生素合成增加,可不部分第通过通路特异性和多效性调节基因的表达增加和辅助因子的合成增加来合理解释。SAM来源于钴胺素,是参与抗生素生物合成的重要辅助因子,依赖 tRNA 的钴胺素合成显著增加会影响抗生素产量。

研究结论
本文鉴定并证明了一种新型细菌 tRNA 的功能。这种 tRNA 的表达否定了依赖于链霉菌中摆动碱基配对的低效率翻译的要求,从而导致本研究检测到的所有抗生素产量增加,并为基因表达和抗生素生物合成的调节建立了新的范例。数据表明以这种方式控制链霉菌中的翻译效率不仅可以提高已知抗生素的产量,而且还可以提高天蓝色链霉菌另外一种抗生素的表达。这是一种合理且相对简单的通用策略,可以提高翻译效率的多效性,可以纳入未来抗生素的发现计划。

小鹿推荐
本文聚焦于一种新型tRNA的结构、功能、表达和对提高链霉抗生素代谢物的效果。作者在基因测序的基础上揭示了一种基于 GAT 密码子翻译效率的基因表达调控新方式,并且充分运用iTRAQ蛋白质组学,验证了tRNA-Asp-AUC的表达对一些抗生素合成关键蛋白质表达的正向影响,也间接证实了新型tRNA对提高抗生素产量的效果。这个发现为抗生素的生产、发现提供新的视角,也为运用iTRAQ蛋白质组学技术在该方面的研究思路提供新的范例。

欢迎百度搜索鹿明生物——访问鹿明生物官网——了解iTRAQ蛋白质组学技术

猜你还想看
1、Cancer Cell | 肿瘤学一区顶刊:空间多组学技术破译胶质母细胞瘤中的肿瘤-宿主相互依赖性

2、Nature子刊 | 多组学联合分析鼠李糖乳杆菌与白色念珠菌之间的代谢争夺战
3、Environ Int | 浙江大学公共卫生学院周舟课题组在环境科学顶刊首次发文揭示镉暴露与糖尿病的关联
4、项目文章 | LC-MS、GC-MS非靶向代谢组学联合DIA蛋白质组学探究甲状腺毒症小鼠的衰老机制

本文系鹿明生物原创
转载请注明本文转自鹿明生物
回复

使用道具 举报

您需要登录后才可以回帖 登录 | 立即注册

本版积分规则

快速回复 返回顶部 返回列表